Shandong Taihe Technologies Co., Ltd.
TEL: +86-632-5113066
FAX: +86-632-5112055
E-mail: info@thwater.net
ADD: No.1, Shiliquan East Road, Shizhong District, Zaozhuang City, Shandong Province, P.R.China
![]() |
HOME >> Water Treatment Chemicals >> Phosphonates Antiscalants, Corrosion Inhibitors and Chelating Agents |
CAS No. 6419-19-8
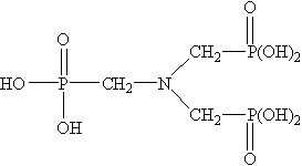
Molecular Formula: N(CH2PO3H2)3 Molecular weight: 299.05
Structural Formula:

ATMP has excellent chelation, low threshold inhibition and lattice distortion ability. It can prevent scale formation, calcium carbonate in particular, in water system. ATMP has good chemical stability and is hard to be hydrolyzed in water system. At high concentration, it has good corrosion inhibition.
ATMP is used in industrial circulating cool water system and oilfield water pipeline in fields of thermal power plant and oil refinery plant. ATMP can decrease scale formation and inhibit corrosion of metal equipment and pipeline. ATMP can be used as chelating agent in woven and dyeing industries and as metal surface treatment agent.
The solid state of ATMP is crystal powder, soluble in water, easily deliquescence, suitable for usage in winter and freezing districts. Because of its high purity, it can be used in woven & dyeing industries and as metal surface treatment agent.
| Items | Index | |
|---|---|---|
| Standard | Solid | |
| Appearance | Clear, Colorless to pale yellow aqueous solution | White crystal powder |
| Active acid % | 50.0 min | 95.0 min |
| Chloride (as Cl-)% | 1.0 max | 1.0 max |
| pH (1% water solution) | 2.0 max | 2.0 max |
| Fe, mg/L | 20.0 max | 20.0 max |
| Density (20℃)g/cm3 | 1.30 min | - |
ATMP is usually used together with organophosphoric acid, polycarboxylic acid and salt to built all organic alkaline water treatment agent. ATMP can be used in many different circulating cool water system. The dosage of 1-20mg/L is recommended. As corrosion inhibitor, the dosage of 20-60mg/L is preferred.
ATMP liquid:200L plastic drum,IBC(1000L),customers' requirement.
ATMP solid: 25kg/bag, customers' requirement.
Storage for ten months in shady room and dry place.
Acidity, Avoid contact with eye and skin, once contacted, flush with water.
Amino Trimethylene Phosphonic Acid;
Amino Tri(Methylene Phosphonic Acid);
Tris(Methylene Phosphonic Acid) Amine;
Nitrilotrimethylphosphonic Acid(NTP);
Nitrilotrimethylenetris(Phosphonic Acid);
Нитрилотриметилфосфоновая кислота(НТФ -кислота)
Copyright © 2013 Shandong Taihe Technologies Co., Ltd. All Rights Reserved.